در ارزیابی سال گذشته، ایران در بین ۱۸۸ کشور جهان در رتبه ۱۰۴ قرار داشت که با لحاظ شاخصهای جدید رتبه ایران به نحو چشمگیری (۳۵ پله) افزایش یافته و به ۶۹ ارتقا یافته است.

اما ۳۷ شاخص توسعه پایدار ۲۰۱۶ را Disaster mort (مرگ بر اثر فجایع طبیعی)، child stunting (کوتاه قدی کودکان)، child wasting (لاغری کودکان)، child overweight (اضافه وزن کودکان)، MMR (نسبت مرگ و میر مادران)، SBA (حضور فرد ماهر حین زایمان)، NN mort (مرگ و میر نوزادان)، HIV incid (بروز اچ آی وی)، Tuberculosis incid (بروز سل)، Malaria incid (بروز مالاریا)، Hep B incid ( بروز هپاتیت ب)، NTD prev (شيوع بيماریهای گرمسیري نادیده گرفته شده)، NCD mort (مرگ و میر ناشی از بیماری های غیر واگیر شامل بیماریهای قلبی عروقی، سرطان، دیابت و بیماری های تنفسی مزمن)، suicid mort (مرگ و میر ناشی از خودکشی)، Acohol Use (مصرف الکل)، Road injury mort (مرگ و میر ناشی از تصادفات جاده ای)، FP need met, mod (خدمات تنظیم خانواده)، Adol birth rate (نرخ زایمان نوجوانان)، UHC index (شاخص جهانی پوشش سلامت)، Air poll mort (مرگ و میر ناشی از آلودگی هوای خانگی و آلودگی هوای محیطی)، WaSH mort (مرگ و میر ناشی از آب غیربهداشتی)، Poisoning mort (مرگ و میر ناشی از مسمومیت ناخواسته)، Smoking prev (شیوع سیگار کشیدن روزانه)، Vaccine cov (پوشش واکسیناسیون جمعيت هدف براساس برنامه های واکسیناسیون ملی)، Int partner viol (خشونت خانگی)، HH air poll ( آلودگی هوای خانگی)، Water (آب)، sanitation (بهداشت و درمان)، hygiene (بهداشت)، Occ burden (بار بیماری ناشی از خطرات شغلی)، HH air poll (شیوع آلودگی هوای خانگی)، Mean PM2.5 (ذرات ریز کوچکتر از ۲،۵ μm)، Homicide (مرگ و میر ناشی از خشونت میان فردی)، Conflict mort (مرگ و میر ناشی از درگیری و تروریسم)، Violence prev (شیوع خشونت فیزیکی و جنسی)، Child sex abuse (شیوع سوء استفاده جنسی از کودکان)، Cert death reg (سیستم مطمئن ثبت مرگ و میر) تشکیل میدهند.
در برآورد بار جهانی بار بیماریها، آسیبها و عوامل خطر ۲۰۱۵ ( GBD 2015 ) سی و سه شاخص سلامت مرتبط و یک شاخص کلی SDG مربوط به سلامت برای ۱۸۸ کشور از سال ۱۹۹۰ تا ۲۰۱۵ اندازهگیری شده بود که چهار شاخص: پوشش واکسن برای جمعیت هدف در برنامه های ملی، شاخص خشونت فیزیکی، سوء استفاده جنسی از کودکان و ثبت مرگ در GBD 2016 افزوده شدند.
در ارزیابی سال گذشته، ایران در بین ۱۸۸ کشور جهان در رتبه ۱۰۴ قرار داشت که با لحاظ شاخصهای جدید رتبه ایران به نحو چشمگیری (۳۵ پله) افزایش یافته و به ۶۹ ارتقا یافته است.
ترکیه هم که در ارزیابی قبلی یک پله بالاتر از ایران در رتبه ۱۰۳ بود، امسال با رشدی به مراتب بیشتر از ایران (۴۵ پله) به رتبه ۵۸ صعود کرده و البته عربستان که در ارزیابی سال گذشته پس از ایران در رتبه ۱۰۵ بود امسال تنها با یک رتبه ارتقا به رتبه ۱۰۴ رسیده است.

ابندکس ایران در دستیابی به مجموع ۳۷ هدف توسعه پایدار معادل ۶۲ و در سایر اهداف غیر توسعه هزاره معادل ۶۰ است.
موفقیت عالی و خوب ایران در ۱۵ شاخص و وضعیت متوسط ، بد و بدترین در ۲۲ شاخص ۳۷ گانه
نگاهی به نتایج کلی مطالعه نشان میدهد ایران در ۱۵ شاخص دارای وضعیت عالی و خوب (ایندکس ۷۵ – ۱۰۰) است و در ۲۲ شاخص دارای وضعیت متوسط، بد و بدترین (ایندکس صفر – ۷۵ ) است.
همچنین ایران در ۸ شاخص : پوشش خدمات تنظیم خانواده با ایندکس (۸۷)، قد کودکان (۸۷)، بار ناشی از خطرات شغلی (۸۴)، درصد بالای دسترسی به آب و دفع بهداشتی فاضلاب (۸۱) ، بروز مالاریا (۷۹)، لاغری کودکان (۷۶)، شیوع سوء استفاده جنسی از کودکان (۷۵) و موارد بروز اچ آی وی (۷۵) در وضعیت خوب (ایندکس ۷۵ تا ۹۰) قرار دارد.
بدترین عملکردهای ایران در شاخصهای توسعه پایدار ۲۰۱۶
یافتههای مطالعه شاخصهای توسعه پایدار ۲۰۱۶ نشان میدهد که ایران در ۱۶ شاخص: آلودگی هوای خانگی و محیطی با ایندکس (۵۰) ، بروز هپاتیت بی (۵۰)، مرگ کودکان زیر ۵ سال (۵۳) ، مرگ بر اثر فجایع طبیعی (۵۵)، شیوع بیماریهای غیرواگیر (۵۶)، مرگ ناشی از آب غیربهداشتی (۶۵)، شیوع خشونت فیزیکی (۶۶)، مرگ ناشی از خودکشی (۶۷)، مرگ ناشی از خشونت میانفردی (۶۸)، اضافه وزن کودکان (۶۸) سیستم مطمئن ثبت مرگ (۶۹)، شاخص جهانی پوشش سلامت (۷۰)، مرگ ناشی از درگیری و تروریسم (۷۴)، شیوع سیگار کشیدن روزانه (۷۴)، بروز سل (۷۴)، نسبت مرگ و میر مادران (۷۴) دارای وضعیت بد و متوسط (ایندکس ۵۰ – ۷۵) بوده است.
جهشهای ایران در شاخص عملکردهای ۲۰۱۶ نسبت به ۲۰۱۵
مروری بر یافتههای فوق نشان میدهد که ایران در مجموع عملکردهایی با وضعیت عالی و خوب، در سه شاخص بهداشت، دسترسی به آب و دفع بهداشتی فاضلاب و بروز اچ آی وی، دارای جهش خوبی در ارتقای ایندکس نسبت به سال ۲۰۱۵ بوده است؛ به طوری که از سطح ضعیف در سال ۲۰۱۵ به سطح عالی در ۲۰۱۶ رسیده است و حتی در مجموع عملکرد بدترین، بد و متوسط، در شش شاخص مرگ ناشی از تصادفات جادهای، خشونت خانگی، آلودگی هوای خانگی و محیطی، مرگ بر اثر فجایع طبیعی، خشونت فیزیکی، بروز سل و مرگ و میر مادران دارای جهش در ایندکس بوده اما همچنان در ایندکس ۷۵ و زیر آن قرار دارد.
تنزل نمره ایران در ۱۸ شاخص ۲۰۱۶ نسبت به ۲۰۱۵
بدین ترتیب، تنزل ایران در ایندکس شاخصها، دو برابر جهش در ایندکس شاخصهای ۲۰۱۶ نسبت به ۲۰۱۵ بوده است.
وضعیت قرمز ایران در سه شاخص
وضعیت ایران در سه شاخص ذرات ریز، مرگ ناشی از تصادفات جادهای و مسمویت غیرعمدی طبق عملکرد بر اساس شاخصهای توسعه پایدار ۲۰۱۶ هشدار آمیز بوده است.
۸ شاخص نیازمند توجه جدی
همچنین وضعیت ایران در ۸ شاخص مرگ و میر نوزادان، زایمان نوجوانان، خشونت خانگی، آلودگی هوای خانگی و محیطی، بروز هپاتیت بی، مرگ کودکان زیر ۵ سال، مرگ بر اثر فجایع طبیعی، شیوع بیماریهای غیرواگیر با کسب رتبه زیر ۶۰ نیازمند توجه جدی است.
متوسط شاخص SDG مربوط به سلامت در سال ۲۰۱۶
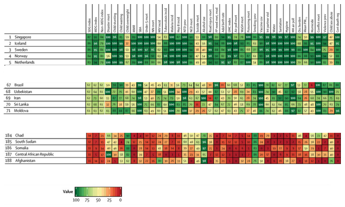
در شاخص های سی و هفت گانه ارزیابی شده توسعه پایدار در ۲۰۱۶، سنگاپور، ایسلند و سوئد بهترین عملکرد را در شاخصها و افغانستان، جمهوری آفریقای مرکزی و سومالی بدترین عملکرد را داشتهاند.
یافتههای این مطالعه نشان میدهد بین سالهای ۲۰۰۰ تا ۲۰۱۶، بهبود قابل توجهی در شاخص های توسعه پایدار در چندین کشور از جمله کامبوج، رواندا، گینه استوایی، لائوس، ترکیه و چین به دست آمده است. با این حال، تعدادی از کشورها مانند لسوتو و جمهوری آفریقای مرکزی و حتی کشورهای دارای درآمد بالا مانند ایالات متحده آمریکا، پیشرفت کمتری را نشان دادهاند.
